首页
下载APP
请输入搜索内容喵
生活
日常
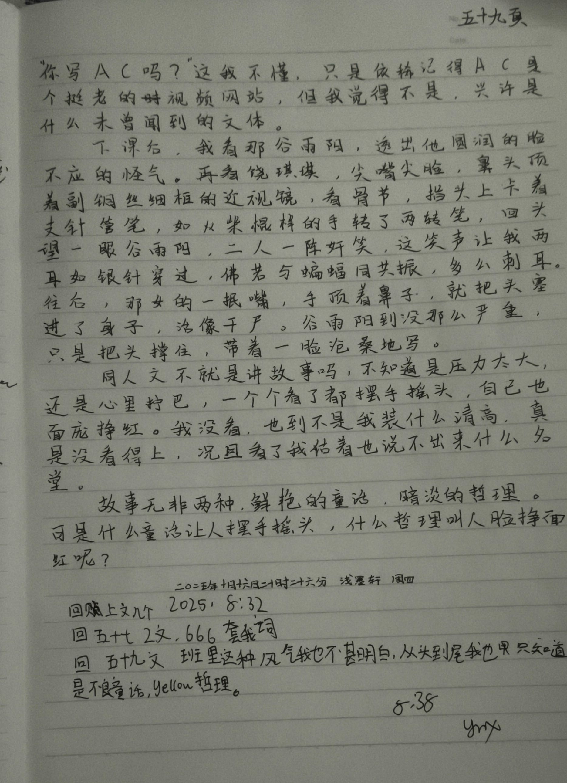
日记 2025年10月16日
星朔Novalune
2025-10-16 21:07
83
1分钟
原创声明,未经作者许可禁止转载
日记
学校
讨论
发布评论
全部评论(3)
零眠之月official
#1103094
感觉这种日记好有意思
然后看笔迹又不是一个人写的好像我们班的班级日志
感觉这种日记好有意思
然后看笔迹又不是一个人写的好像我们班的班级日志